数据结构初阶 链表的补充
一. 主要介绍
本篇博客将会着重介绍四个接口函数
- 查找指定位置的链表
- 在指定位置插入数据
- 在指定位置删除数据
- 销毁链表
二. 查找指定位置的链表
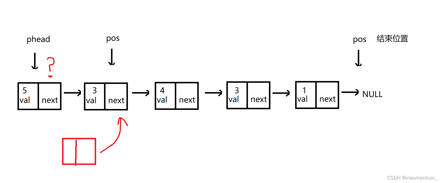
我们这里首先画出一个单链表的逻辑图

我们假设 里面的值是确定的 是 5 3 4 3 1
那么我们就有图如下所示

我们首先来看普通情况 (找值为3的位置)
首先我们的pos指针被head赋值 指向单链表的第一个位置
看看它的值是否是我们要找的值
如果不是就找下一个
直到我们的pos指针指向空为止

这里因为有多个可能的pos值
我们返回了第一个找到的值之后 继续找下一个值 找到空为止
如果我们找不到的话 就什么都不做
代码表示如下
voidSListFindpos(SL* pphead, SLType x){structSLlist* pos;
pos = pphead;int i =1;while(pos){if(pos->date == x){printf("找到了第%d个节点:%p->%d\n", i++, pos, x);}
pos = pos->next;}}
演示效果如下

三. 在指定位置插入数据(前)
我们在使用这个接口函数之前 首先要将前面的Find函数修改一下
让它返回指向pos位置的指针
修改之后接口代码如下
structSLlist*SListFindpos(SL* pphead, SLType x){structSLlist* pos;
pos = pphead;int i =1;while(pos){if(pos->date == x){return pos;}
pos = pos->next;}}
之后我们来看图

我们想要在pos面前插入一个数据 那么我们就需要得到两个信息
一个是指向pos位置的指针
一个是pos指针的位置
很显然我们知道pos指针的位置 但是pos前面的位置怎么找呢?
没办法 这就来到了单链表的缺陷之一
只能够向后查找
如果这个时候我们想要得到pos数据的位置只能一步步遍历
上代码
voidSListInsertPos(SL** pphead, SL* pos ,SLType x){
SL* newnode =(SL*)malloc(sizeof(SL));
newnode->date = x;
newnode->next =NULL;
SL* prev =*pphead;while(prev->next!=pos){
prev = prev->next;}
prev->next = newnode;
newnode->next = pos;}
显示效果如下

我们想想看 假如说Find找不到值 我们就让它返回一个空指针
如果说要我们在空的位置插入数据 这不就是难为人嘛
直接给它断言一下
我们来试着找一个不存在的值

这里回直接断言报错
四. 在指定的位置插入数据(后)
还是一样 咱们先考虑普遍数据

这里就很简单了 我们只需要将pos指向的下一位指向新创建的数据
另外将原来的pos next赋值给新数据
代码表示如下
voidSListInsert2Pos(SL** pphead, SL* pos, SLType x){assert(pos);
SL* newnode =(SL*)malloc(sizeof(SL));
newnode->date = x;
newnode->next = pos->next;
pos->next = newnode;}
我们可以发现 pos位置后面插入数据比前面插入数据简单多了
代码演示结果如下
五. 删除指定位置的数据
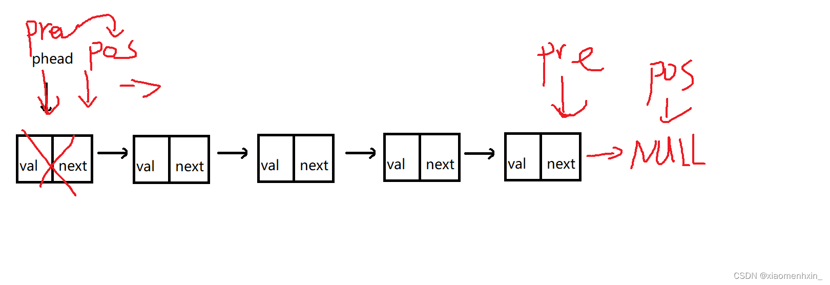
还是一样 我们先看图

这个看上去很简单
我们只需要做两步就可以
第一 释放将pos上面一个节点的指针指向pos下一个节点的指针
(同样的 需要查找pos前面一个节点的位置 )
第二 释放pos位置开辟出来的空间 避免内存泄漏
我们现在来看看特殊情况 如果说pos返回的NULL指针 还是一样的断言报错
代码表示如下
voidSListDelPos(SL** pphead, SL* pos){assert(pos);
SL* prev =*pphead;while(prev->next != pos){
prev = prev->next;}
prev->next = pos->next;free(pos);
pos =NULL;}
表示结果如下

六. 删除单链表
还是老样子 我们直接画图

这里特别要注意一点! 我们删除单链表并不是只是把头指针指空就结束了
这样会造成很严重的内存泄漏问题!
但是这样子的话我们一个指针就做不了了
如果说我们将一个指针先释放 它就指不到后面了
如果说我们先指向后面 那么它就找不到前面的数据了
所以说这里我们需要两个指针

我们注意到pos指向空指针的时候 pre刚好指向最后一个释放
下面我们开始写代码
voidSListDestory(SL** pphead){assert(*pphead);
SL* prev =NULL;
SL* pos =*pphead;while(pos){
prev = pos;
pos = pos->next;free(prev);}
prev =NULL;*pphead =NULL;}
演示效果如下

以上就是本篇博客的全部内容啦 由于博主才疏学浅 所以难免会出现纰漏
希望大佬们看到错误之后能够不吝赐教 在评论区或者私信指正 博主一定及时修正
大家下期再见
版权归原作者 xiaomenhxin_ 所有, 如有侵权,请联系我们删除。