一、树的基本知识
二、二叉树的基本知识
三、堆
堆的基本知识
初始准备
初始化和销毁堆
堆为空
向上和向下调整堆
插入和删除数据
取出堆顶数据
堆的数据个数
建堆时间复杂度
全部代码
堆排序
四、TOP-K问题
五、二叉树的链式存储
一、树的基本知识
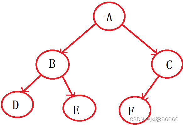
树是一种非线性结构,像是一颗倒挂着的树,根朝上,叶朝下,最上面的节点称为根节点,如下图的A

注意:树形结构中,子树之间不能有交集,否则就不是树形结构,如下图
**
**
节点的度:一个节点含有的子树的个数称为该节点的度
如第一张图的A,有2个子树,度就为2
叶节点或终端节点:度为0的节点称为叶节点
如第一张图的D、E、F、G都是叶节点
双亲节点或父节点:若一个节点含有子节点,则这个节点称为其子节点的父节点
如第一张图的C就是G的父节点
孩子节点或子节点:一个节点含有的子树的根节点称为该节点的子节点
如第一张图的B、C都是A的孩子节点
树的高度或深度:树中节点的最大层次
如将根节点视为第一层,树的高度就为3
节点的祖先:从根到该节点所经分支上的所有节点
如第一张图的A是所有节点的祖先
树的表示方法
最常用的是孩子兄弟表示法

根只要指向第一个节点,剩下的节点就可以依次连接,如下图

二、二叉树的基本知识
概念:由一个根节点加上两棵别称为左子树和右子树的二叉树组成(或者为空),如下图

二叉树特点:
不存在度大于2的节点
二叉树的子树有左右之分,次序不能颠倒,因此二叉树是有序树
特殊的二叉树
完全二叉树
前h-1层都有左右节点(根节点除外),第h层从左到右是连续存储的,不存在有右节点,没有左节点的情况

满二叉树
每层都有左右节点,所以满二叉树是特殊的完全二叉树

二叉树的性质
若规定根节点的层数为1,则一棵非空二叉树的第i层上最多2^(i-1)个节点
当其为满二叉树时,第i层节点数最多,即1、2、4...2^(i-1),是一个等比数列
若规定根节点的层数为1,则深度为h的二叉树的最大节点数是2^h-1
当其为满二叉树时,有最大节点数,即1、2、4...2^(h-1),是等比数列,求和为2^h-1
对任何一棵二叉树, 如果度为0其叶结点个数为 , 度为2的分支结点个数为 ,则有n0=n2+1
若规定根节点的层数为1,具有n个结点的满二叉树的深度,h=log2(n+1)
二叉树的存储结构
可以用顺序结构和链式结构两种来存储
不过顺序结构只适用于完全二叉树,普通二叉树存储时,可能会造成大量空间浪费

如上图,存储时,有缺失,则必须空出来,否则会打乱结构
假设parent是父亲节点在数组中下标
leftchild = parent * 2 + 1
rightchild = parent * 2 + 2
假设孩子的下标是child,不管是左孩子还是右孩子
**parent = (child - 1) / 2 **
三、堆
堆的基本知识
概念:
将根节点最大的堆叫做最大堆或大根堆,根节点最小的堆叫做最小堆或小根堆
性质:
堆中某个节点的值总是不大于或不小于其父节点的值
堆总是一棵完全二叉树
小堆:
大堆:
初始准备
为了存储的数据类型能够便于修改,所以用typedef 将其数据类型名修改

这里采用数组结构来存储堆,首先创建一个结构体,有3个成员,第一个是数组的起始地址(指针),第二个是有效数据个数,第三个是已经开辟的数组大小(容量),用typedef将其类型名简化

打印堆的数据
按照下标访问即可,就和静态数组一样

交换两个数
由于后面的向上和向下调整都得用到交换,所以用一个函数来实现,想使用时只需调用即可

初始化和销毁堆
将其后两个成员置为0,将指针置为NULL即可

销毁堆和初始化堆类似,只是要将开辟的空间用free释放

** 堆为空**
** 如果没有数据则就为空,这里采用bool类型,同时要引用头文件stdbool.h**
** 向上和向下调整堆**
** 以建立大堆为例,向上调整**
** **
如上图,如果子节点数据比父节点数据大,两者就交换,且把父节点下标赋值给孩子,父节点下标为(child-1)/ 2,否则就直接跳出循环
不能用parent>=0作循环判断条件,当child = 0时,parent = 0循环还是会继续,然后下一步才会跳出循环,可是并不算正常退出

2个参数,一个数组的起始地址,另一个是孩子节点的下标

以建立大堆为例,向下调整
首先得判断左右孩子节点数据哪个更大,父节点与大的那个交换,同时右孩子节点下标不能越界

再判断孩子节点数据是否比父节点数据大,大就交换,且将孩子节点下标赋值给父节点,孩子节点为2 * parent + 1,否则就跳出循环


**循环判断条件为孩子节点下标小于有效数据个数 **

有3个参数,一个是数组的起始地址,一个是有效数据个数,还有一个是父节点下标
** **
注意:对于向下调整,左右子树必须是一个堆,才能调整
插入和删除数据
插入数据时,首先得判断是否还有空间,没有就增容,同时要判断增容是否失败

插入数据后,有效数据个数要+1,然后再向上调整,保证是大堆或者小堆

删除堆顶数据后,不能挪动数据,否则会打乱堆结构
首先得判断堆是否为空

然后得交换堆顶数据与最后一个数据

再删除最后一个数据,即有效数据个数-1即可

最后还要向下调整堆,保证是大堆或者小堆

取出堆顶数据
首先判断堆是否为空,然后再取数据

堆的数据个数

全部代码
//头文件
#pragma once
#include<stdio.h>
#include<stdlib.h>
#include<assert.h>
#include<stdbool.h>
#include<time.h>
typedef int DataType;
typedef struct Heap
{
DataType* a;
int size;
int capacity;
}HP;
//初始化堆
void HeapInit(HP* hp);
//销毁堆
void HeapDestroy(HP* hp);
//打印
void HeapPrint(HP* hp);
//交换2个数
void swap(DataType* px, DataType* py);
//插入数据进堆
void HeapPush(HP* hp, DataType x);
//删除数据出堆
void HeapPopTop(HP* hp);
//向上调整
void HeapAdjustUp(DataType* a,int child);
//向下调整
void HeapAdjustDown(DataType* a,int n,int parent);
//取出堆顶数据
DataType HeapTop(HP* hp);
//堆为空
bool HeapEmpty(HP* hp);
//堆的大小
int HeapSize(HP* hp);
//定义文件
#include"Heap.h"
void HeapInit(HP* hp)
{
assert(hp);
hp->a = NULL;
hp->size = 0;
hp->capacity = 0;
}
void HeapDestroy(HP* hp)
{
assert(hp);
free(hp->a);
hp->a = NULL;
hp->size = 0;
hp->capacity = 0;
}
void HeapPrint(HP* hp)
{
assert(hp);
assert(!HeapEmpty(hp));
int i = 0;
for (i = 0; i < hp->size; i++)
{
printf("%d ", hp->a[i]);
}
printf("\n");
}
void swap(DataType* px, DataType* py)
{
DataType* tmp = *px;
*px = *py;
*py = tmp;
}
void HeapPush(HP* hp, DataType x)
{
assert(hp);
if (hp->size == hp->capacity)
{
int newcapacity = hp->capacity == 0 ? 4 : 2 * hp->capacity;
DataType* tmp = (DataType*)realloc(hp->a, sizeof(DataType) * newcapacity);
if (tmp == NULL)
{
printf("realloc fail\n");
exit(-1);
}
hp->a = tmp;
hp->capacity = newcapacity;
}
hp->a[hp->size] = x;
hp->size++;
HeapAdjustUp(hp->a,hp->size-1);
}
void HeapAdjustUp(DataType* a,int child)
{
assert(a);
int parent = (child - 1) / 2;
while (child > 0)
{
if (a[child] < a[parent])
{
swap(&a[child], &a[parent]);
child = parent;
parent = (child - 1) / 2;
}
else
{
break;
}
}
}
bool HeapEmpty(HP* hp)
{
assert(hp);
return hp->size == 0;
}
void HeapPopTop(HP* hp)
{
assert(hp);
assert(!HeapEmpty(hp));
swap(&(hp->a[0]), &(hp->a[hp->size - 1]));
hp->size--;
HeapAdjustDown(hp->a, hp->size, 0);
}
void HeapAdjustDown(DataType* a, int n, int parent)
{
assert(a);
int child = 2 * parent + 1;
while (child < n)
{
if (child + 1 < n && a[child + 1] < a[child])
{
child++;
}
if (a[child] < a[parent])
{
swap(&a[child], &a[parent]);
parent = child;
child = 2 * parent + 1;
}
else
{
break;
}
}
}
DataType HeapTop(HP* hp)
{
assert(hp);
assert(!HeapEmpty(hp));
return hp->a[0];
}
int HeapSize(HP* hp)
{
assert(hp);
return hp->size;
}
测试文件
void test1()
{
HP hp;
HeapInit(&hp);
HeapPush(&hp, 17);
HeapPush(&hp, 53);
HeapPush(&hp, 62);
HeapPush(&hp, 37);
HeapPush(&hp, 65);
HeapPush(&hp, 25);
HeapPrint(&hp);
int sz = HeapSize(&hp);
printf("%d\n", sz);
int Top = HeapTop(&hp);
HeapPopTop(&hp);
printf("%d\n", Top);
sz = HeapSize(&hp);
printf("%d\n", sz);
Top = HeapTop(&hp);
HeapPopTop(&hp);
printf("%d\n", Top);
sz = HeapSize(&hp);
printf("%d\n", sz);
Top = HeapTop(&hp);
HeapPopTop(&hp);
printf("%d\n", Top);
sz = HeapSize(&hp);
printf("%d\n", sz);
HeapDestroy(&hp);
}
int main()
{
test1();
return 0;
}
建堆时间复杂度

如上图,把根节点所在层看为第一层,这里用满二叉树,方便计算,多几个节点不影响结果
采用的方法是错位相减法

堆排序
首先创建一个数组,并且赋值,再求数组数据个数

这里排升序,建大堆


然后再先将堆顶数据与最后一个数据交换,再有效数据-1,最后向下调整

最后打印数据即可

四、TOP-K问题
从n个数据中取出k个最大或者最小的数据,一般k远小于n
首先创建一个1000个数的数组,并且都赋值,其中有9个都大于10000

这里以取出前k个最大数据为例,建小堆

后面991个数,满足大于堆顶数据就删除堆顶数据,重新调整,换成新的堆顶数据
这里无论是插入数据还是删除堆顶数据,以及方法二的向下调整都是建小堆
五、二叉树的链式存储
二叉树是:
空树
非空:根节点,根节点的左子树、根节点的右子树组成的。
二叉树定义是递归式的
二叉树的遍历有:前序/中序/后序的递归结构遍历

前序遍历——访问根结点的操作发生在遍历其左右子树之前
**如上图,15 17 24 19 20 36 35 13 24 **
中序遍历——访问根结点的操作发生在遍历其左右子树之中(间)
如上图,19 24 20 17 36 15 13 35 24
后序遍历——访问根结点的操作发生在遍历其左右子树之后
如上图,19 20 24 36 17 13 24 35 15
递归实现前序遍历,下图是递归展开图,为了便于画图,所以减少了数据

前中后序遍历全部代码
//创建节点
BN* BuyBinaryNode(DataType x)
{
BN* newnode = (BN*)malloc(sizeof(BN));
if (newnode == NULL)
{
printf("malloc fail\n");
exit(-1);
}
newnode->data = x;
newnode->leftchild = NULL;
newnode->rightchild = NULL;
return newnode;
}
//前序遍历
void prevorder(BN* bn)
{
if (bn == NULL)
{
return NULL;
}
printf("%d ", bn->data);
prevorder(bn->leftchild);
prevorder(bn->rightchild);
}
//中序遍历
void inorder(BN* bn)
{
if (bn == NULL)
{
return;
}
inorder(bn->leftchild);
printf("%d ", bn->data);
inorder(bn->rightchild);
}
//后序遍历
void postorder(BN* bn)
{
if (bn == NULL)
{
return;
}
postorder(bn->leftchild);
postorder(bn->rightchild);
printf("%d ", bn->data);
}
void test3()
{
BN* bn1 = BuyBinaryNode(15);
BN* bn2 = BuyBinaryNode(17);
BN* bn3 = BuyBinaryNode(35);
BN* bn4 = BuyBinaryNode(24);
BN* bn5 = BuyBinaryNode(36);
BN* bn6 = BuyBinaryNode(13);
BN* bn7 = BuyBinaryNode(24);
BN* bn8= BuyBinaryNode(19);
BN* bn9 = BuyBinaryNode(20);
bn1->leftchild = bn2;
bn1->rightchild = bn3;
bn2->leftchild = bn4;
bn2->rightchild = bn5;
bn4->leftchild = bn8;
bn4->rightchild = bn9;
bn3->leftchild = bn6;
bn3->rightchild = bn7;
prevorder(bn1);
//inorder(bn1);
//postorder(bn1);
}
计算二叉树的节点个数
首先得判断根节点是否为空,为空就返回0
将所有节点都遍历一遍,为空就返回0,不为空就+1

计算二叉树叶子节点的个数
首先得判断根节点是否为空,为空就返回0
将所有节点都遍历一遍,如果左右孩子节点都为空,那么该节点就是叶子节点

计算二叉树第k层的节点个数
首先得判断根节点是否为空,为空就返回0
将根节点视为第一层,首先得判断k是否大于等于1,然后判断k是否为1,为1就返回1
可以转化成第k-1层的所有节点的左右孩子节点的总和

在二叉树中查找值为x的节点
首先得判断根节点是否为空,为空就返回空
如果等于该节点存储的数据等于x,那就返回该节点的地址,说明找到了
如果左孩子或右孩子节点等于空,那就返回空
上述都不满足,就返回空
为了避免在判断左右孩子节点是否为空,以及返回时,多次调用,所以用变量将其保存

求二叉树的高度或层数
首先得判断根节点是否为空,为空就返回0
通过判断左右子树那个大,就+1后返回哪个
为了减少函数在返回语句时的多次调用,所以用变量将其值保存起来


层序遍历
概念:自上而下,自左至右逐层访问树的结点的过程
这里得借用队列来实现
首先得判断根节点是否为空,为空则函数结束直接return

然后创建一个队列的结构体变量,并初始化,再把根节点插入队列中
然后创建一个变量,保存父节点,才能把左右孩子带进队列中
最后销毁队列即可

判断是否是完全二叉树
首先得创建一个队列的结构体变量,并初始化,然后把根节点插入队列中

然后判断保存队头节点并删除,以便能带入左右孩子节点,如果队头节点为空,就直接跳出循环
因为完全二叉树的最后一层是连续存储的,如果后面全是空,那就是完全二叉树,否则就不是

//层序遍历
void LevelOrder(BN* root)
{
if (root == NULL)
return;
Queue q;
QueueInit(&q);
QueuePushBack(&q, root);
while (!QueueEmpty(&q))
{
BN* Front = QueueTop(&q);
QueuePopFront(&q);
printf("%d ", Front->data);
if (Front->leftchild)
QueuePushBack(&q, Front->leftchild);
if(Front->rightchild)
QueuePushBack(&q, Front->rightchild);
}
printf("\n");
QueueDestroy(&q);
}
//判断是否是完全二叉树
bool BinaryTreeComplete(BN* root)
{
Queue q;
QueueInit(&q);
QueuePushBack(&q, root);
BN* Front = NULL;
while (!QueueEmpty(&q))
{
Front = QueueTop(&q);
QueuePopFront(&q);
if (Front == NULL)
{
break;
}
else
{
QueuePushBack(&q, root->leftchild);
QueuePushBack(&q, root->rightchild);
}
}
while (!QueueEmpty(&q))
{
Front = QueueTop(&q);
QueuePopFront(&q);
if (Front)
{
QueueDestroy(&q);
return false;
}
}
QueueDestroy(&q);
return true;
}
二叉树销毁
首先得判断根节点是否为空,为空就return即可
然后把每个节点都遍历,自下而上的删除节点即可

版权归原作者 风影66666 所有, 如有侵权,请联系我们删除。