1.软件版本
MATLAB2021a
2.本算法理论知识
利用维纳滤波器进行图像去抖去模糊的基本原理如下所示:


对原始图像进行维纳滤波的算法是首先估计出每个像素点的M*N邻域内的平均值和方差值。有如下两个表达式计算:


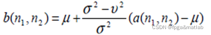
用如下的表达式计算输出的灰度值。其中a(n1,n2)是调整前的灰度值,b(n1,n2)是调整后的灰度值:

以上这部分是维纳滤波的基本原理,在我们提供的一些参考文献中均有详细介绍,所以这里就不多做介绍了,我们主要是对后面的创新部分进行详细的说明。
注意:由于手机拍摄抖动导致的模糊,在数学上属于运动模糊,所以,我们为了对比滤波性能的好坏,直接使用运动模糊来模拟抖动效果。然后进行滤波对比。
3.核心代码
clc;
clear;
close all;
warning off;
pack;
%读取原始的清晰图片
Io = imread('Image\11.jpg' );
%加入运动模糊
LEN = 30; %模糊长度,即实际中的抖动幅度
THETA = 0; %模糊角度,即实际中的抖动方向,%一般仅考虑水平抖动和垂直抖动
%产生抖动因子PSF
PSF = fspecial( 'motion',LEN,THETA);
%产生抖动效果图
Ipsf = imfilter(Io,PSF,'circular','conv');
%Ipsf为模拟拍摄输入的图像
K = func_fuzzyness(Ipsf);
INITPSF = ones(size(PSF));
%进行盲滤波,即不知道一直的抖动因子PSF
[J,P] = deconvblind(Ipsf,INITPSF,func_k(K));
figure
subplot(131);imshow(Io);title('原始图像');
subplot(132);imshow(Ipsf);title('模糊后的图像');
subplot(133);imshow(J);title('恢复后的图像');
%计算模糊图像的PSNR
PSNR = psnr(rgb2gray(Io),rgb2gray(Ipsf))
%计算滤波之后的PSNR
PSNR = psnr(rgb2gray(Io),rgb2gray(J))
4.操作步骤与仿真结论


5.参考文献

A23-07
6.完整源码获得方式
订阅MATLAB/FPGA教程,免费获得教程案例以及任意2份完整源码
本文转载自: https://blog.csdn.net/ccsss22/article/details/123748391
版权归原作者 fpga&matlab 所有, 如有侵权,请联系我们删除。
版权归原作者 fpga&matlab 所有, 如有侵权,请联系我们删除。