混淆电路简介
混淆电路的定义
混淆电路是一种密码学协议,由姚期智教授在80年代针对安全计算所提出的概念。其效果就是:当几个通信方需要一起输入某些数据,然后通过同一个函数计算出一个结果。但是通信的各方都不希望其他人知道自己的输入是什么,此时利用混淆电路协议即可完成目的。
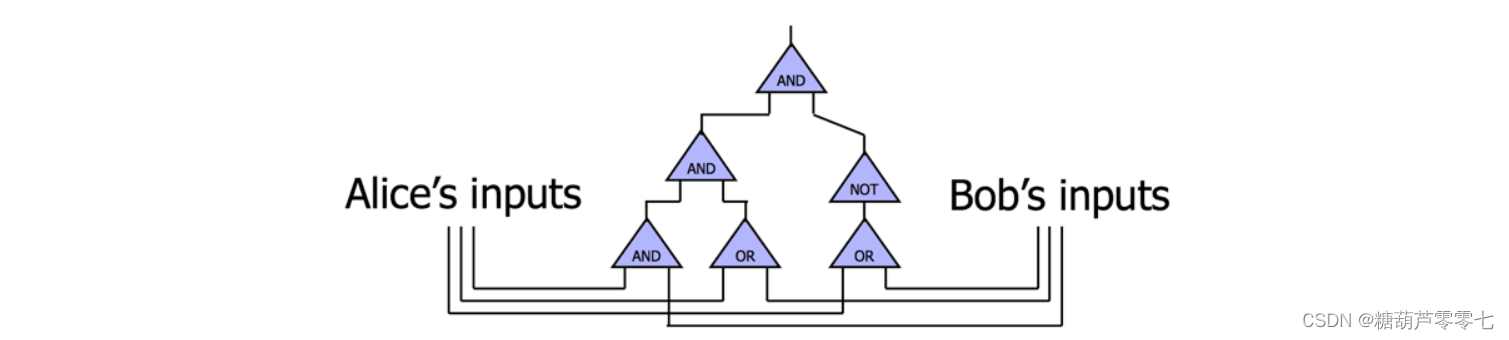
在这里关键词是电路,实际上所有可计算问题都可以转换为各个不同的电路,例如加法电路,比较电路,乘法电路等。而电路是由一个个门(gate)组成,例如与门,非门,或门,与非门等。
混淆电路里的多方的共同计算是通过电路的方式来实现,例如下图所示,Alice和Bob要进行多方计算,他们首先需要构建一个由与门,或门,非门,与非门组成的布尔逻辑电路,每个门都包括输入线,输出线。
混淆电路则通过加密和扰乱这些电路的值来掩盖信息,而这些加密和扰乱是以门为单位,每个门都有一张真值表。
混淆电路的过程
场景引入:假设有 Alice 和 Bob两个人,两个人进行炫富比较,在某个较为私密的场合,他们想比较下谁更加富有,但是又不想让对方知道彼此具体的财富值。我们设定Alice的财富值是
X
X
X,Bob的财富值是
Y
Y
Y,下面通过混淆电路的方式解决
X
X
X和
Y
Y
Y 谁大的问题。
这里针对与门进行讲解,整体流程主要包含四大步骤。
第一步: Alice生成混淆电路
- 首先,Alice生成电路的Truth Table,并且对于真值表按照与门进行计算标注(如下图所示)

- 然后,Alice进行电路的Truth Table替换(替换值代替真实值,对真实值进行隐藏),例如输 X 0 X_0 X0代表 X = 0 X=0 X=0,输入 X 1 X_1 X1代表 X = 1 X=1 X=1,输入 Y 0 Y_0 Y0代表 Y = 0 Y=0 Y=0,输入 Y 1 Y_1 Y1代表 Y = 1 Y=1 Y=1,输出 Z 0 Z_0 Z0代表 Z = 0 Z=0 Z=0,输入 Z 1 Z_1 Z1代表 Z = 1 Z=1 Z=1(这些值,我们称之为替换值,随机生成,无规律;原始的输入称之为真实值)。

- 然后,Alice针对替换后的Truth Table的输出进行两次对称加密,并且加密的秘钥分别是Truth Table的两个输入。比如Truth Table的某行两个输入分别是 X 0 X_0 X0与 Y 0 Y_0 Y0输出是 Z 0 Z_0 Z0 ,那么替换后的真值表的某行就是 E n c X 0 , Y 0 ( Z 0 ) Enc_{X_0, Y_0}(Z_0) EncX0,Y0(Z0) ;

- 然后,Alice将加密过后的 Truth Table 的行打乱得到 Garbled Table。所以 Garbled Table 的内容和行号就无关了。这就是混淆电路中的混淆二字的由来。

第二步: Alice 和 Bob 通信
- 首先,Alice将自己的输入发送给 Bob。比如取输入 X = 0 X=0 X=0,Alice就会发送替换值 X 0 X_0 X0给 Bob。注意:由于 Bob 只是收到 对应的替换值,也就无从知晓 Alice 的原始值了。
- 然后,Bob通过不经意传输协议,从 Alice 那里获得他的输入对应的替换值,并且通过协议,可以让Alice不知道Bob具体使用的是那个原始值,这里假设Bob的输入是1,所以通过不经意传输最终获取 Y 1 Y_1 Y1的替换值。具体流程:通过不经意传输协议保证了 Bob 在替换值 Y 0 , Y 1 Y_0, Y_1 Y0,Y1中获得一个,但是Alice并不知道Bob获得了哪一个。
- 然后,Alice 将与门的 Garbled Table发给 Bob。

第三步:Bob evaluate混淆电路
- 首先,Alice和Bob通信完成之后,Bob尝试进行电路解密,目前Bob已知的信息有输入 X 0 X_0 X0 和 Y 1 Y_1 Y1 ,所以使用这两个值,对于Garbled Table的四行进行解密,可以看到,这里只有第三行是可以解密成功的。
- 然后,Bob虽然解密成功,但是由于解密出的 Z 0 Z_0 Z0仍然是替换值(非原始值0),所以无法获得其他信息。
第四步:Alice 和 Bob 共享结果
- 最后 Alice 和 Bob 共享结果。Bob分享解密后结果 Z 0 Z_0 Z0给Alice,Alice知道替换值与原始值的替换关系,进行替换,并且可以将最终结果分享给Bob。
网页参考链接:
- 【隐私计算笔谈】MPC系列专题(三):不经意传输与混淆电路
- 安全多方计算之百万富翁问题
- 隐私计算基础组件系列-混淆电路
- MPC系列–信息论安全的混淆电路
- Garbled Circuits介绍 - 1 引言
版权归原作者 碳烤小肥羊。。。 所有, 如有侵权,请联系我们删除。